Алгебра:Преобразования
Главная
Главное меню
Алгебра
Тригонометрия
Преобразования
Прогрессии
Уравнения
Математический анализ
Русский язык
Орфография
Пунктуация
Схемы разборов
Геометрия
Окружность
Треугольник
Параллелограмм
Трапеция
Призма
Пирамида
Цилиндр
Конус
Шар
Физика
Кинематика
Динамика
Законы сохранения
Статика, гидростатика
Механические колебания
МКТ
Термодинамика
Электростатика
Постоянный ток
Электромагнетизм
Оптика
Квантовая физика
Справочник
Алгебра
Русский язык
Геометрия
Физика
Найти:
на
ege-09.narod.ru
Народ.Ру
Яндексе
Преобразования
Степень
Корень
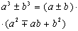
Формулы сокращенного умножения
Свойства логарифмов
Степень
[В начало]
Корень
[В начало]
Формулы сокращенного умножения
[В начало]
Логарифмы. Свойства логарифмов
[В начало]
.....
Главная
|
Ново-Ямская СОШ
|
Алгебра
|
Русский язык
|
География
|
Биология
|
При любом копировании материалов
обязательно
указание ссылки на этот сайт:
http://ege-09.narod.ru
© 2008 - 2009
Кожевников Илья
Powered by
Mr.Patch